2025 年 4 月,Sand.ai 开源了 MagiAttention v1.0.0,定义了下一代分布式 Attention 的全新设计和系统框架。历经一年的深耕,今天 Sand.ai 正式发布:MagiAttention v1.1.0,以更成熟的原生算子组件,重新定义 Hopper 与 Blackwell 两代架构分布式 Attention 的性能上限。

为了在下一代硬件上延续 Flex-Flash-Attention (FFA) 的灵活性,研发团队引入了基于 Flash-Attention 4 的 FFA_FA4 后端,完成了对 Blackwell 架构的初步适配:
跨机通信效率决定了分布式扩展上限,受 DeepEP 启发,Sand.ai 构建了原生 Group Collective 通信内核,彻底重塑了分布式 Attention 在节点内外的数据交换范式:
MagiAttention 的卓越性能不仅源于算子端的极致打磨,更得益于系统级的全栈协同调度和全场景通用的启发式算法:
目前,MagiAttention v1.1.0 已在 Magi-1 等大规模视频生成模型训练中得到实证,也在各大厂中被 “悄悄” 应用于多模态大模型训练。为了验证 MagiAttention 在真实长文训练中的表现,Sand.ai 也给出了细致的 Benchmark 结果:

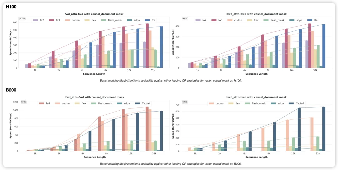
H100/B200 Varlen Causal 掩码下前反向的内核算子性能对比

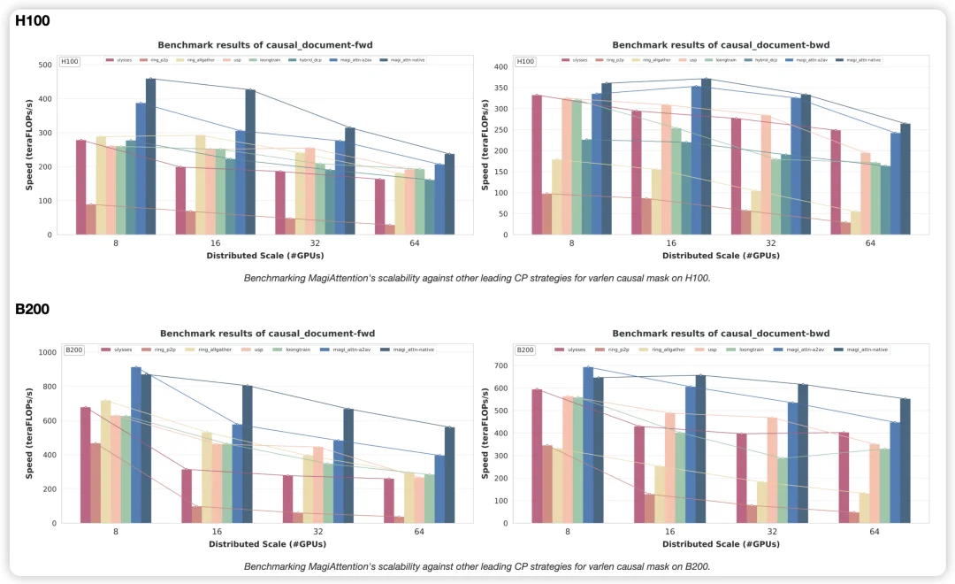
H100/B200 Varlen Causal 掩码下前反向的分布式性能对比
自去年 v1.0 发布以来,Sand.ai 收到的社区反馈让研发团队更加坚定:只有将底层算力压榨到极限,才能开启人工智能处理复杂多模态任务的新篇章。MagiAttention v1.1.0,是 Sand.ai 向这一愿景迈进的关键一步。Sand.ai 相信,强大的模型能力必须建立在普惠且极致的技术基石之上。
了解更多信息,欢迎访问 Sand.ai 官网:https://sand.ai
文章来自于“机器之心”,作者 “机器之心编辑部”。