首个系统性评估多模态大模型(VLM)交互式物理推理能力的综合基准来了。
淘天集团算法技术-未来生活实验室团队提出DeepPHY,通过六个极具挑战性的物理模拟环境,揭示了即便是顶尖VLM,在将物理知识转化为精确、可预测的交互控制时,仍存在显著的核心短板。
该论文已被AAAI 2026收录。

近期,基于视觉语言模型(VLM)的智能体在游戏、GUI操作和具身AI等动态交互环境中取得了显著进展。然而,现有基准或侧重于静态问答,或物理模型过于简化,难以全面评估智能体的真实物理推理能力。
为了弥补这一空白,淘天集团未来生活实验室团队提出了DeepPHY。
下面具体来看。
尽管VLM在静态图像理解上表现出色,但当它们作为智能体(Agent)进入需要与物理世界交互的动态环境时,其性能往往不尽人意。这暴露出现有基准的局限性:
物理推理是世界模型和具身智能的基石,为了深入探究VLM的物理推理能力,淘天未来生活实验室推出了DeepPHY——首个专为此目的设计的综合基准框架,它将六个不同的物理模拟器融合,创造出 VLM 交互式物理推理的考场。

△DeepPHY基准测试套件,括号中的值显示了性能最佳的VLM成功率
在这些环境中,智能体必须通过持续的交互来感知和理解物理世界的因果关系,从而系统性地衡量其“物理智商”。
在此基础上,研究人员对17个主流的开源与闭源VLM进行了全面的实证研究,揭示了它们在物理交互、规划及环境适应等方面的不足。
DeepPHY集成了六个各具特色的物理挑战环境,从简单到复杂,全面覆盖了从基础物理(碰撞、重力)到复杂动力学(多体动力学、绳索张力)的多个维度。

△DeepPHY中六个环境在不同维度上的挑战侧重分析
为了让VLM能够专注于物理推理而非目标检测,研究人员对环境的观测和动作空间进行了标准化改造:

△DeepPHY中各环境的观测与动作空间转换策略
研究人员在DeepPHY上对17个主流VLM(包括Qwen、Claude、Gemini、GPT系列)进行了全面的零样本评估,结果揭示了当前VLM在物理推理方面存在的普遍且深刻的局限性。

△本文测评的主流VLM模型
在多个环境中,大多数VLM的性能甚至无法超越一个随机执行动作的MOCK基线。
这表明,即便研究人员将动作空间大幅简化,模型依然缺乏对物理世界基本规律的深入理解。
虽然最新的闭源大模型(如GPT-o3、Gemini-2.5-Pro)表现相对较好,但与理想性能和人类水平相比,仍有巨大的鸿沟。

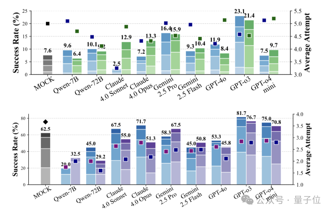
△PHYRE(上)和I-PHYRE(下)环境中的性能对比。大多数模型成功率提升缓慢,平均尝试次数居高不下
PHYRE&I-PHYRE:模型难以从失败的尝试中有效学习。即使给予多次机会,成功率提升缓慢,表明其无法构建准确的内部物理世界模型来指导后续决策。
Kinetix:随着任务难度增加,模型性能急剧下降。在复杂任务中,额外的视觉标注甚至会成为“认知干扰”,损害性能,这揭示了模型在处理复杂信息时的脆弱性。
Pooltool(台球):“高成功率”的假象。团队发现,某些模型(如GPT-4o-mini)取得的100%成功率并非源于策略规划,而是在所有交互中返回了相同的答案,完全不懂得利用旋转、角度等高级物理技巧进行布局,这暴露了其策略的浅薄。
Angry Birds&Cut the Rope:与人类玩家差距巨大。这类游戏需要精确的时机把握和多步连锁反应预测。模型的核心弱点在于时空推理能力的缺失。例如,它们无法预测切断绳索后糖果的最佳摆动时机,或小鸟撞击后建筑物的连锁坍塌效果。

△Pooltool、Angry Birds和Cut the Rope中的性能总结,模型在需要精细策略和时序控制的游戏中,与人类差距悬殊
团队设计了两种提示(Prompt)策略:一种是直接输出动作的VLA模式,另一种是要求模型先预测物理结果再输出动作的WM(World Model)模式。直觉上,WM模式应该能促进模型思考,提升性能。但实验结果恰恰相反:在绝大多数复杂任务中,WM模式反而降低了成功率。

△Kinetix中不同任务等级的VLA与WM模式对比

△Kinetix 中,Claude 4.0 Sonnet的定性案例
通过进一步的案例分析,表明了尽管模型能够用语言准确地描述出预期的物理运动(如“机器人手臂将顺时针旋转并展开”),但它生成的动作指令却无法实现这一描述,导致失败。
这一发现揭示了当前VLM的一个根本性缺陷:它们的物理知识是描述性的,而非预测性和程序性的。
模型可以像物理教科书一样“背诵”出正确的物理现象描述,但却无法将这种描述性知识转化为精确的、可执行的控制信号来与物理世界进行交互。
这就像一个人能背诵出所有游泳理论,但一进水里就下沉。
基于此,团队表示希望DeepPHY能成为一个严谨的“试金石”,推动社区开发出更具物理常识、真正理解并能与物理世界交互的下一代AI智能体。
感兴趣的朋友可戳下方链接查看更多细节~
论文链接:https://arxiv.org/abs/2508.05405
开源代码:https://github.com/XinrunXu/DeepPHY
文章来自于“量子位”,作者 “DeepPHY团队”。
【开源免费】Browser-use 是一个用户AI代理直接可以控制浏览器的工具。它能够让AI 自动执行浏览器中的各种任务,如比较价格、添加购物车、回复各种社交媒体等。
项目地址:https://github.com/browser-use/browser-use
【开源免费】DeepBI是一款AI原生的数据分析平台。DeepBI充分利用大语言模型的能力来探索、查询、可视化和共享来自任何数据源的数据。用户可以使用DeepBI洞察数据并做出数据驱动的决策。
项目地址:https://github.com/DeepInsight-AI/DeepBI?tab=readme-ov-file
本地安装:https://www.deepbi.com/
【开源免费】airda(Air Data Agent)是面向数据分析的AI智能体,能够理解数据开发和数据分析需求、根据用户需要让数据可视化。
项目地址:https://github.com/hitsz-ids/airda
【开源免费】AutoGPT是一个允许用户创建和运行智能体的(AI Agents)项目。用户创建的智能体能够自动执行各种任务,从而让AI有步骤的去解决实际问题。
项目地址:https://github.com/Significant-Gravitas/AutoGPT
【开源免费】MetaGPT是一个“软件开发公司”的智能体项目,只需要输入一句话的老板需求,MetaGPT即可输出用户故事 / 竞品分析 / 需求 / 数据结构 / APIs / 文件等软件开发的相关内容。MetaGPT内置了各种AI角色,包括产品经理 / 架构师 / 项目经理 / 工程师,MetaGPT提供了一个精心调配的软件公司研发全过程的SOP。
项目地址:https://github.com/geekan/MetaGPT/blob/main/docs/README_CN.md
【免费】ffa.chat是一个完全免费的GPT-4o镜像站点,无需魔法付费,即可无限制使用GPT-4o等多个海外模型产品。
在线使用:https://ffa.chat/
【开源免费】LangGPT 是一个通过结构化和模板化的方法,编写高质量的AI提示词的开源项目。它可以让任何非专业的用户轻松创建高水平的提示词,进而高质量的帮助用户通过AI解决问题。
项目地址:https://github.com/langgptai/LangGPT/blob/main/README_zh.md
在线使用:https://kimi.moonshot.cn/kimiplus/conpg00t7lagbbsfqkq0